| 2002 | 2006 | 2010 | 2014 | 2018 | ||
|---|---|---|---|---|---|---|
| Salario por hora (euros) | 11,95 | 11,14 | 11,39 | 11,17 | 11,3 | |
| Mujer | 0,37 | 0,41 | 0,47 | 0,48 | 0,48 | |
| Edad | ||||||
| <30 años | 0,28 | 0,26 | 0,19 | 0,13 | 0,13 | |
| 30-39 años | 0,32 | 0,33 | 0,34 | 0,33 | 0,26 | |
| 40-49 años | 0,24 | 0,24 | 0,26 | 0,3 | 0,32 | |
| 50-59 años | 0,15 | 0,14 | 0,17 | 0,19 | 0,23 | |
| Más de 60 años | 0,03 | 0,03 | 0,04 | 0,05 | 0,07 | |
| Nivel educativo | ||||||
| Primaria o menos | 0,26 | 0,27 | 0,19 | 0,18 | 0,19 | |
| 1er ciclo Secund. | 0,28 | 0,26 | 0,29 | 0,25 | 0,25 | |
| 2o ciclo Secund. | 0,18 | 0,18 | 0,21 | 0,23 | 0,2 | |
| Univ. | 0,28 | 0,29 | 0,32 | 0,34 | 0,35 | |
| Antigüedad en la empresa | ||||||
| < de 1 año | 0,15 | 0,15 | 0,09 | 0,09 | 0,12 | |
| 1-3 años | 0,36 | 0,39 | 0,32 | 0,26 | 0,28 | |
| 4-7 años | 0,16 | 0,18 | 0,22 | 0,19 | 0,14 | |
| Más de 7 años | 0,33 | 0,29 | 0,37 | 0,45 | 0,45 | |
| Tamaño empresa | ||||||
| <10 trab. | 0 | 0,26 | 0,28 | 0,26 | 0,24 | |
| 10-49 trab. | 0,43 | 0,29 | 0,26 | 0,25 | 0,26 | |
| 50-199 trab. | 0,25 | 0,19 | 0,18 | 0,19 | 0,19 | |
| 200 y más | 0,32 | 0,26 | 0,28 | 0,3 | 0,31 | |
| Tipo de contrato | ||||||
| Indefinido | 0,73 | 0,71 | 0,78 | 0,79 | 0,78 | |
| Tipo de jornada | ||||||
| Completa | 0,89 | 0,83 | 0,78 | 0,75 | 0,75 | |
| No. observaciones | 186,744 | 230,001 | 171,421 | 199,348 | 206,537 | |
| Modelo simple | Modelo extendido | |||||||||||
|---|---|---|---|---|---|---|---|---|---|---|---|---|
| 2002 | 2006 | 2010 | 2014 | 2018 | 2002 | 2006 | 2010 | 2014 | 2018 | |||
| Mujer | -0.218*** | -0.202*** | -0.179*** | -0.171*** | -0.176*** | -0.187*** | -0.170*** | -0.149*** | -0.127*** | -0.133*** | ||
| (0.003) | (0.004) | (0.003) | (0.003) | (0.003) | (0.003) | (0.004) | (0.004) | (0.003) | (0.004) | |||
| Edad | 0.024*** | 0.016*** | 0.009*** | 0.013*** | 0.010*** | 0.018*** | 0.010*** | 0.004*** | 0.009*** | 0.006*** | ||
| (0.001) | (0.001) | (0.001) | (0.001) | (0.001) | (0.001) | (0.001) | (0.001) | (0.001) | (0.001) | |||
| Edad al cuadrado | -0.000*** | -0.000*** | -0.000 | -0.000*** | -0.000*** | -0.000*** | -0.000*** | 0.000 | -0.000 | -0.000 | ||
| (0.000) | (0.000) | (0.000) | (0.000) | (0.000) | (0.000) | (0.000) | (0.000) | (0.000) | (0.000) | |||
| Nivel educativo | ||||||||||||
| 1er ciclo Secundaria | 0.047*** | 0.026*** | 0.039*** | 0.047*** | 0.039*** | 0.010*** | 0.011*** | 0.012*** | 0.012*** | 0.014*** | ||
| (0.004) | (0.004) | (0.005) | (0.005) | (0.005) | (0.004) | (0.004) | (0.004) | (0.004) | (0.005) | |||
| 2o ciclo Secundaria | 0.219*** | 0.175*** | 0.183*** | 0.168*** | 0.154*** | 0.092*** | 0.087*** | 0.091*** | 0.090*** | 0.093*** | ||
| (0.005) | (0.005) | (0.005) | (0.005) | (0.005) | (0.005) | (0.005) | (0.005) | (0.005) | (0.005) | |||
| Universitarios | 0.513*** | 0.447*** | 0.512*** | 0.523*** | 0.504*** | 0.152*** | 0.149*** | 0.155*** | 0.190*** | 0.212*** | ||
| (0.004) | (0.005) | (0.005) | (0.005) | (0.005) | (0.005) | (0.006) | (0.006) | (0.005) | (0.006) | |||
| Antigüedad en la empresa | ||||||||||||
| 1-3 años | 0.062*** | 0.065*** | 0.031*** | 0.042*** | 0.017*** | 0.030*** | 0.037*** | 0.009 | 0.011* | -0.001 | ||
| (0.004) | (0.005) | (0.007) | (0.006) | (0.006) | (0.004) | (0.005) | (0.006) | (0.006) | (0.006) | |||
| 4-7 años | 0.159*** | 0.160*** | 0.092*** | 0.114*** | 0.073*** | 0.089*** | 0.098*** | 0.054*** | 0.046*** | 0.025*** | ||
| (0.005) | (0.006) | (0.007) | (0.006) | (0.006) | (0.005) | (0.006) | (0.007) | (0.006) | (0.007) | |||
| Más de 7 años | 0.352*** | 0.341*** | 0.260*** | 0.245*** | 0.242*** | 0.221*** | 0.215*** | 0.175*** | 0.140*** | 0.147*** | ||
| (0.005) | (0.006) | (0.007) | (0.006) | (0.006) | (0.005) | (0.006) | (0.007) | (0.006) | (0.006) | |||
| Tamaño empresa | ||||||||||||
| 10-49 trabajadores | -0.206*** | 0.094*** | 0.092*** | 0.080*** | 0.074*** | |||||||
| (0.004) | (0.005) | (0.005) | (0.005) | (0.005) | ||||||||
| 50-199 trabajadores | -0.102*** | 0.173*** | 0.171*** | 0.143*** | 0.126*** | |||||||
| (0.004) | (0.005) | (0.004) | (0.005) | (0.005) | ||||||||
| 200 y más trabajadores | 0.276*** | 0.278*** | 0.229*** | 0.222*** | ||||||||
| (0.006) | (0.005) | (0.004) | (0.005) | |||||||||
| Tipo de contrato | ||||||||||||
| Indefinido | 0.064*** | 0.036*** | 0.007* | 0.045*** | 0.035*** | |||||||
| (0.004) | (0.004) | (0.004) | (0.004) | (0.004) | ||||||||
| Tipo de jornada | ||||||||||||
| Completa | -0.042*** | 0.018*** | 0.008* | 0.034*** | 0.025*** | |||||||
| (0.006) | (0.005) | (0.005) | (0.004) | (0.004) | ||||||||
| Dummies de ocupación | SI | SI | SI | SI | ||||||||
| Dummies de sector de actividad | SI | SI | SI | SI | ||||||||
| Constante | 1.441*** | 1.607*** | 1.718*** | 1.578*** | 1.703*** | 2.690*** | 2.531*** | 2.620*** | 2.392*** | 2.477*** | ||
| (0.019) | (0.022) | (0.027) | (0.026) | (0.024) | (0.024) | (0.025) | (0.033) | (0.031) | (0.031) | |||
| R-cuadrado | 0.361 | 0.317 | 0.348 | 0.347 | 0.340 | 0.489 | 0.477 | 0.507 | 0.482 | 0.464 | ||
| No. observaciones | 186,744 | 230,001 | 171,421 | 199,348 | 206,537 | 186,744 | 230,001 | 171,421 | 199,347 | 206,537 | ||
| Brecha salarial de género ajustada (%) | |||||
|---|---|---|---|---|---|
| Año | <30 | 30-39 años | 40-49 años | 50-59 años | Más de 59 años | 
| 2002 | 13,24 | 16,83 | 19,75 | 20,42 | 21,8 | 
| -0,005 | -0,006 | -0,008 | -0,012 | -0,024 | |
| 2006 | 11,31 | 15,12 | 17,28 | 20,11 | 20,78 | 
| -0,007 | -0,007 | -0,008 | -0,011 | -0,03 | |
| 2010 | 9,3 | 12,82 | 14,6 | 16,31 | 20,37 | 
| -0,009 | -0,006 | -0,007 | -0,009 | -0,023 | |
| 2014 | 4,69 | 10,75 | 12,62 | 14,97 | 17,21 | 
| -0,008 | -0,005 | -0,006 | -0,008 | -0,018 | |
| 2018 | 6,8 | 10,7 | 13,24 | 15,26 | 15,25 | 
| -0,009 | -0,006 | -0,005 | -0,01 | -0,014 | |
| % Mujeres | |||||
| 2002 | 42,3 | 38,1 | 36,9 | 29,1 | 25,9 | 
| 2006 | 44,8 | 42,2 | 39,9 | 35,9 | 26,2 | 
| 2010 | 51,5 | 47,9 | 46,7 | 44,5 | 37,6 | 
| 2014 | 50,9 | 49,2 | 47,7 | 45,9 | 41,9 | 
| 2018 | 47,7 | 48,8 | 47,8 | 46,1 | 47 | 
| Brecha salarial de género ajustada (%) | ||||
|---|---|---|---|---|
| Año | Primaria o menos | 1er ciclo de Educ. Secundaria | 2o ciclo de Educ. Secundaria | Educ. terciaria | 
| 2002 | 21,3 | 19,23 | 18,27 | 14,29 | 
| -0,006 | -0,007 | -0,008 | -0,006 | |
| 2006 | 18,21 | 15,06 | 17,31 | 15,3 | 
| -0,008 | -0,007 | -0,009 | -0,007 | |
| 2010 | 13,76 | 15,03 | 16,96 | 12,54 | 
| -0,008 | -0,007 | -0,009 | -0,006 | |
| 2014 | 11,24 | 12,42 | 13,55 | 11,91 | 
| -0,007 | -0,006 | -0,007 | -0,006 | |
| 2018 | 13,01 | 13,26 | 14,18 | 12,1 | 
| -0,008 | -0,009 | -0,007 | -0,005 | |
| % Mujeres | ||||
| 2002 | 29,9 | 32,7 | 44,8 | 44,2 | 
| 2006 | 31,6 | 35,5 | 48 | 49,8 | 
| 2010 | 37,8 | 43,3 | 51,9 | 53,3 | 
| 2014 | 42,9 | 42,3 | 51,2 | 52,7 | 
| 2018 | 40 | 43 | 51,1 | 53,1 | 
| Brecha salarial de género ajustada (%) | ||||
|---|---|---|---|---|
| Año | Menos de 1 año | 1-3 años | 4-7 años | Más de 7 años | 
| 2002 | 16,08 | 15,99 | 18,93 | 19,37 | 
| -0,008 | -0,005 | -0,009 | -0,007 | |
| 2006 | 10,49 | 14,87 | 18,22 | 19,59 | 
| -0,009 | -0,006 | -0,009 | -0,007 | |
| 2010 | 9,94 | 11,25 | 15,59 | 17,74 | 
| -0,012 | -0,006 | -0,008 | -0,006 | |
| 2014 | 6,99 | 7,8 | 11,17 | 16,35 | 
| -0,01 | -0,007 | -0,008 | -0,005 | |
| 2018 | 8,25 | 11,1 | 9,87 | 15,8 | 
| -0,01 | -0,008 | -0,009 | -0,005 | |
| % Mujeres | ||||
| 2002 | 40,7 | 39 | 38 | 33,7 | 
| 2006 | 40,9 | 41,9 | 43,5 | 37,8 | 
| 2010 | 46,1 | 50,6 | 49,9 | 42,9 | 
| 2014 | 45,1 | 48,3 | 52,6 | 46,4 | 
| 2018 | 44,9 | 44,6 | 47,2 | 50,3 | 
| Brecha salarial de género ajustada (%) | |||||
|---|---|---|---|---|---|
| Año | Directores y Gerentes | Técnicos y prof.cientif. | Técnicos y prof. de apoyo | Empleados adminis. | Trabaj. serv. restauración, personales… | 
| 2002 | 16,78 | 12,99 | 17,79 | 15,11 | 15,94 | 
| -0,027 | -0,008 | -0,009 | -0,009 | -0,01 | |
| 2006 | 24,41 | 13,57 | 14,61 | 14,44 | 14,46 | 
| -0,022 | -0,01 | -0,01 | -0,009 | -0,01 | |
| 2010 | 10,82 | 11,66 | 15,22 | 13,91 | 12,43 | 
| -0,025 | -0,009 | -0,009 | -0,009 | -0,009 | |
| 2014 | 12,19 | 10,76 | 12,93 | 12,49 | 9,45 | 
| -0,022 | -0,008 | -0,008 | -0,007 | -0,007 | |
| 2018 | 13,21 | 10,75 | 12,36 | 10,9 | 12,49 | 
| -0,027 | -0,007 | -0,009 | -0,008 | -0,009 | |
| % Mujeres | |||||
| 2002 | 17,9 | 48,1 | 38,7 | 59 | 58,3 | 
| 2006 | 23,4 | 56 | 43,9 | 64,6 | 65,7 | 
| 2010 | 30,8 | 58 | 41,9 | 65,6 | 66,4 | 
| 2014 | 35,2 | 58 | 43,5 | 64,5 | 65 | 
| 2018 | 36,2 | 58 | 41,5 | 66,6 | 63,3 | 
| Brecha salarial de género ajustada (%) | ||||||||||||
|---|---|---|---|---|---|---|---|---|---|---|---|---|
| Año | Industrias extractivas | Manufacturas | Producción y distribución de energía eléctrica, gas y agua | Construcción | Comercio | Hostelería | Transp. y almacenamiento | Interm. financiera | Actividades Inmobiliarias | Educación | Activ.sanit. | Otras actividades Sociales | 
| 2002 | 23,62 | 23,18 | 17,12 | 20,05 | 20,95 | 10,48 | 17,12 | 11,95 | 14,74 | 4,3 | 17,18 | 21,38 | 
| -0,042 | -0,004 | -0,023 | -0,019 | -0,011 | -0,008 | -0,016 | -0,013 | -0,01 | -0,009 | -0,011 | -0,012 | |
| 2006 | 18,99 | 22,18 | 22,71 | 15,51 | 14,41 | 10,75 | 16,7 | 14,17 | 15,3 | 2,93 | 21,78 | 18,73 | 
| -0,027 | -0,004 | -0,017 | -0,019 | -0,011 | -0,013 | -0,015 | -0,011 | -0,01 | -0,011 | -0,016 | -0,012 | |
| 2010 | 20,1 | 20,94 | 21,92 | 15,93 | 15,01 | 8,97 | 13,93 | 16,35 | 16,02 | 8,57 | 13,48 | 13,91 | 
| -0,055 | -0,006 | -0,017 | -0,022 | -0,01 | -0,015 | -0,017 | -0,016 | -0,006 | -0,015 | -0,009 | -0,014 | |
| 2014 | 25,02 | 20,81 | 21,67 | 15,8 | 13,05 | 6,02 | 15,29 | 16,6 | 12,29 | 5,83 | 13,51 | 12,64 | 
| -0,042 | -0,005 | -0,015 | -0,021 | -0,009 | -0,011 | -0,013 | -0,015 | -0,005 | -0,014 | -0,01 | -0,012 | |
| 2018 | 13,03 | 20,12 | 19,18 | 6,22 | 13,77 | 6,96 | 16,68 | 17 | 12,58 | 6,04 | 12,06 | 12,36 | 
| -0,037 | -0,005 | -0,015 | -0,022 | -0,01 | -0,016 | -0,013 | -0,016 | -0,005 | -0,013 | -0,009 | -0,012 | |
| % Mujeres | ||||||||||||
| 2002 | 7,3 | 25 | 16,2 | 6,6 | 43,1 | 52,1 | 24,4 | 36,1 | 52,1 | 62,6 | 71,5 | 45,3 | 
| 2006 | 8,5 | 25,3 | 18,2 | 8,3 | 46,1 | 54,9 | 25,3 | 43,7 | 55,1 | 65,7 | 74,5 | 55,9 | 
| 2010 | 8,4 | 25,8 | 20 | 11,4 | 52,5 | 56,8 | 25,8 | 57,7 | 46,3 | 67,3 | 76,8 | 64,1 | 
| 2014 | 8,2 | 26,2 | 20,4 | 11,6 | 49,1 | 56,7 | 26,3 | 59,9 | 48,4 | 66,6 | 75,5 | 60,7 | 
| 2018 | 10,7 | 26,9 | 21,7 | 11 | 49,4 | 55,6 | 26,8 | 59,9 | 46,2 | 65,3 | 76,5 | 57,7 | 
| Brecha salarial de género ajustada (%) | ||||
|---|---|---|---|---|
| Año | 1-9 trab. | 10-49 trab. | 50-199 trab. | 200 y más trab. | 
| 2002 | . | 16,25 | 20,51 | 19,69 | 
| -0,005 | -0,005 | -0,007 | ||
| 2006 | 13,02 | 16,04 | 17,37 | 19,01 | 
| -0,013 | -0,005 | -0,005 | -0,005 | |
| 2010 | 12,44 | 14,9 | 15,84 | 15,25 | 
| -0,01 | -0,007 | -0,006 | -0,004 | |
| 2014 | 9,36 | 12,67 | 13,26 | 14,35 | 
| -0,009 | -0,007 | -0,006 | -0,004 | |
| 2018 | 11,55 | 12,42 | 13,82 | 13,67 | 
| -0,012 | -0,007 | -0,005 | -0,004 | |
| % Mujeres | ||||
| 2002 | 0 | 32,7 | 35,6 | 44,9 | 
| 2006 | 40,9 | 34,5 | 39 | 49,2 | 
| 2010 | 47,6 | 39,4 | 46,2 | 54,8 | 
| 2014 | 48,2 | 42,3 | 46,2 | 53,7 | 
| 2018 | 48,1 | 40,7 | 45,5 | 54,1 | 
| Brecha salarial de género ajustada (%) | ||
|---|---|---|
| Año | Indefinido | Temporal | 
| 2002 | 19,17 | 14,57 | 
| -0,004 | -0,006 | |
| 2006 | 18,26 | 11,86 | 
| -0,005 | -0,007 | |
| 2010 | 15,59 | 11,72 | 
| -0,004 | -0,008 | |
| 2014 | 13,79 | 7,84 | 
| -0,004 | -0,007 | |
| 2018 | 14,27 | 9,09 | 
| -0,004 | -0,007 | |
| % Mujeres | ||
| 2002 | 37,6 | 36,8 | 
| 2006 | 42,1 | 37,9 | 
| 2010 | 47,4 | 46,7 | 
| 2014 | 47,7 | 49,2 | 
| 2018 | 47,6 | 47,6 | 
| Brecha salarial de género ajustada (%) | ||
|---|---|---|
| Año | Tiempo completo | Tiempo parcial | 
| 2002 | 18,74 | 16,75 | 
| -0,003 | -0,016 | |
| 2006 | 17,88 | 11,47 | 
| -0,004 | -0,012 | |
| 2010 | 14,94 | 13,76 | 
| -0,004 | -0,011 | |
| 2014 | 13,99 | 7,44 | 
| -0,003 | -0,008 | |
| 2018 | 13,7 | 10,99 | 
| -0,004 | -0,009 | |
| % Mujeres | ||
| 2002 | 32,8 | 74 | 
| 2006 | 34,7 | 71,7 | 
| 2010 | 40,5 | 71,1 | 
| 2014 | 40,8 | 69,3 | 
| 2018 | 41,2 | 66,6 | 
| Año | p5 | p10 | p25 | p50 | p75 | p90 | p95 | 
|---|---|---|---|---|---|---|---|
| 2002 | 13,15 | 13,81 | 15,22 | 18,21 | 21,41 | 24,32 | 25,45 | 
| -0,005 | -0,004 | -0,003 | -0,003 | -0,004 | -0,006 | -0,009 | |
| 2006 | 11,4 | 13,14 | 14,16 | 16,85 | 19,47 | 22,13 | 20,96 | 
| -0,006 | -0,005 | -0,004 | -0,004 | -0,005 | -0,007 | -0,01 | |
| 2010 | 9,76 | 10,95 | 12,6 | 14,07 | 15,6 | 18,21 | 21,11 | 
| -0,005 | -0,005 | -0,004 | -0,004 | -0,005 | -0,006 | -0,008 | |
| 2014 | 9,2 | 9,7 | 10,5 | 11,71 | 13,67 | 16,77 | 18,76 | 
| -0,005 | -0,005 | -0,004 | -0,004 | -0,005 | -0,007 | -0,007 | |
| 2018 | 9,18 | 10,18 | 11,21 | 12,67 | 14,23 | 15,37 | 17,86 | 
| -0,004 | -0,004 | -0,004 | -0,004 | -0,004 | -0,007 | -0,009 | 
Resumen
El objetivo principal del trabajo es estimar las brechas salariales de género ajustadas en España, usando la Encuesta de Estructura Salarial desde 2002 hasta 2018. Para ello se usa la misma metodología que Anghel, Conde-Ruiz y Marra de Artiñano (2019), incluyendo el año 2018. El principal resultado del trabajo es que, por primera vez en la serie histórica, encontramos que la brecha salarial ajustada aumenta, del 12,7% en 2014 al 13,3% en 2018, truncándose así la senda descendiente que veníamos observando desde el inicio del siglo XXI. No obstante, hay que tomar estos resultados con cautela pues estadísticamente no se puede rechazar la hipótesis de que los coeficientes del año 2014 y del año 2018 sean iguales. Por tanto, habría que esperar a la siguiente ola de la EES del año 2022 para confirmar si la brecha se mantiene igual, sigue reduciéndose o se trata de un cambio de tendencia.
Palabras clave: Brecha salarial de género, Mercado de Trabajo, Encuesta de Estructura Salarial
 
1. Introducción
Partiendo de la base de que el talento se distribuye por igual entre hombres y mujeres cada vez hay una mayor preocupación y sensibilidad por la desigualdad de género. No se trata ya solo de una cuestión de justicia o equidad, sino también de eficiencia, en el sentido de que, si existen barreras o impedimentos que dificulten que las mujeres puedan desarrollarse en igualdad de oportunidades con los hombres, estaríamos desaprovechado parte del talento de la mitad de la población. De hecho, el World Economic Forum (2020) encuentra que cuanto mayor es la igualdad de género en un país mayor es su renta per cápita. Por ello, desperdiciar el talento femenino es algo que no nos podemos permitir, máxime cuando en las próximas décadas el imparable envejecimiento poblacional va a provocar que la población en edad de trabajar se reduzca significativamente.
El avance de las mujeres en términos laborales en las últimas décadas ha sido impresionante. En 1990 tan solo el 34% de las mujeres en edad de trabajar participaban en el mercado laboral y a día de hoy lo hacen el 47,5%. Su esfuerzo educativo también ha sido enorme: actualmente, en España, las mujeres con menos de 50 años han alcanzado un nivel educativo muy superior al de los hombres de su generación. A pesar de ello, como muestran Conde-Ruiz y Marra de Artíñano (2016), las mujeres tienen una peor situación en el mercado laboral: i) experimentan una mayor tasa de paro, una menor tasa de empleo y un mayor grado de precariedad laboral; ii) presentan brechas salariales negativas en todas las dimensiones y iii) están infra-representadas en los puestos de responsabilidad (Conde-Ruiz, Garcia y Yañez, 2019).
En este artículo analizaremos las brechas salariales de género y su evolución en el periodo 2002-2018. Hay dos formas de calcular las brechas salariales: sin ajustar y ajustadas. Por un lado, la brecha de género sin ajustar mide la diferencia porcentual bruta en salario (normalmente por hora) entre hombres y mujeres independientemente de las características socioeconómicas y del puesto de trabajo que ocupa cada uno. Por otro lado, la brecha salarial ajustada busca medir la diferencia porcentual en salario entre hombres y mujeres controlando por todas las características y trata de buscar una medida de “diferencias en remuneración por el mismo trabajo realizado”. Esta última es la medida de la brecha salarial relevante.
Para estimar las brechas salariales de género ajustadas, en este artículo vamos a usar la misma metodología que Anghel, Conde-Ruiz y Marra de Artiñano (2019) incorporando la última ola de la Encuesta de Estructura Salarial (EES), que corresponde al año 20181. En concreto, se tendrán en cuenta una serie de características de los trabajadores y de los puestos de trabajo que ocupan: variables socioeconómicas (sexo, edad, nivel educativo y experiencia) y características del empleo y de la empresa (tamaño de la empresa, tipo de contrato, tipo de jornada, ocupación y sector de actividad). Pero la tarea de poder controlar por todas las características que pueden afectar potencialmente el salario percibido es imposible, pues incluso esta encuesta, siendo la que proporciona un mayor detalle de características de los asalariados, deja fuera algunas que sabemos que son determinantes pero que no son observables como, por ejemplo, la motivación, la capacidad de liderazgo, la persuasión o la actitud frente al riesgo.
El resultado principal del trabajo es que, por primera vez en la serie histórica, encontramos que la brecha salarial ajustada aumenta, del 12,7% en 2014 al 13,3% en 2018, truncándose así la senda descendiente que veníamos observando. Sin embargo, habría que tratar este resultado con cierta cautela, dado que si se realiza un test de la igualdad de los coeficientes de la variable “Mujer” en las estimaciones de los años 2014 y 2018 no se puede rechazar la hipótesis nula de que estos coeficientes son iguales. Por tanto, habrá que esperar a la siguiente ola de la EES del año 2022 para confirmar si la brecha se mantiene igual, sigue reduciéndose o se trata de un cambio de tendencia.
El artículo está organizado de la siguiente forma. En la sección 2 se analizan las brechas de género sin ajustar y se comparan con las de otros países europeos. En la sección 3 se estiman las brechas de género ajustadas para el total de los trabajadores y para distintos colectivos. En la sección 4 realizamos un análisis de las brechas salariales en la distribución de los salarios, utilizando las regresiones cuantílicas. La última sección concluye.
 
 
                              1 Según el calendario de publicación de estadísticas del Instituto Nacional de Estadística, la próxima ola de la EES del año 2022 se publicaría en el año 2024.
2. Las brechas salariales de género sin ajustar
La brecha salarial de género se define como el porcentaje adicional que cobran los hombres respecto a las mujeres, es decir, situando el salario femenino en el denominador. Además, la medición de la brecha de género se realizará sobre el salario por hora, corrigiendo así por la mayor incidencia de la jornada parcial y de la temporalidad entre las mujeres.
Cuando analizamos las brechas de genero sin ajustar encontramos que tanto la brecha media como la mediana se han ido reduciendo en el periodo 2002-2018 desde en torno al 25% hasta situarse en el 13,5% y el 14,2% respectivamente (ver Gráfico 1).
 Fuente: Elaboración propia con datos de la EES europea (Eurostat), 2018
                                Fuente: Elaboración propia con datos de la EES europea (Eurostat), 2018
                              En el Gráfico 2, podemos ver una comparación de estas brechas de genero sin ajustar entre países en el año 2018. España se sitúa por debajo de la media, y con brechas salariales más pequeñas que países como Francia, Alemania o Dinamarca.
 Fuente: Elaboración propia con datos de la EES europea (Eurostat), 2018
                                Fuente: Elaboración propia con datos de la EES europea (Eurostat), 2018
                              Como decíamos en la introducción, estas brechas sin ajustar no son muy informativas pues pueden estar recogiendo efectos composición. En este sentido es ilustrativo el caso de Italia, en el que existe una baja tasa de participación femenina (44% vs 53% en la Unión Europea) y una baja brecha salarial de género sin ajustar. Una explicación plausible es que en el caso italiano la participación laboral de las mujeres con mayor cualificación, y por lo tanto con mayores salarios, sería muy superior a la de las mujeres con menor cualificación. Y como estamos comparando brechas medias sin ajustar, el salario medio sin ajustar de las mujeres italianas sería más alto, simplemente por el hecho de que al calcular la media hay un menor porcentaje de mujeres con salario bajo.
Los efectos composición son determinantes en la estimación de las brechas sin ajustar y por este motivo, creemos que lo correcto es analizar las brechas ajustando por características. 
 
3. Estimaciones de brecha salarial de género ajustada en España: 2002-2018
Las estimaciones de la brecha de género ajustada, es decir, controlando por el efecto de todas aquellas características observables relevantes a la hora de explicar el salario, son especialmente complejas y representan el objetivo de este artículo. Para ello vamos a usar la misma metodología que en Anghel et al. (2019) utilizando los microdatos de la EES española para los años 2002, 2006, 2010, 2014 y 2018. Como poníamos de relieve en Anghel et al. (2019), una de las características más importantes de esta encuesta es que contiene microdatos que emparejan trabajadores con los establecimientos donde trabajan.
La muestra de empresas incluidas en la encuesta ha sufrido varios cambios a lo largo del tiempo. En el año 2002, la EES no incluye las empresas con menos de 10 trabajadores. A partir del año 2006, se consideran todas las empresas, independientemente del número de trabajadores. En cuanto al sector de actividad, en los años 2002 y 2006 la encuesta no incluye el sector de Administración Pública, Defensa y Seguridad Social. A partir del año 2010, se incluyen estos sectores también. Con el objetivo de homogeneizar las muestras en todos los años, eliminaremos a los trabajadores del sector de Administración Pública, Defensa y Seguridad.
La EES contiene información muy detallada sobre las características de los trabajadores (género, edad, nivel educativo, nacionalidad), características del empleo (ocupación, antigüedad, tipo de contrato, tipo de jornada, etc.) y características de las empresas (sector de actividad, tamaño, etc.). La información sobre los salarios incluye datos sobre varios componentes de los salarios (tanto el salario base como los complementos salariales o los bonus) y se recoge en el mes de octubre del año de referencia.
| 2002 | 2006 | 2010 | 2014 | 2018 | ||
|---|---|---|---|---|---|---|
| Salario por hora (euros) | 11,95 | 11,14 | 11,39 | 11,17 | 11,3 | |
| Mujer | 0,37 | 0,41 | 0,47 | 0,48 | 0,48 | |
| Edad | ||||||
| <30 años | 0,28 | 0,26 | 0,19 | 0,13 | 0,13 | |
| 30-39 años | 0,32 | 0,33 | 0,34 | 0,33 | 0,26 | |
| 40-49 años | 0,24 | 0,24 | 0,26 | 0,3 | 0,32 | |
| 50-59 años | 0,15 | 0,14 | 0,17 | 0,19 | 0,23 | |
| Más de 60 años | 0,03 | 0,03 | 0,04 | 0,05 | 0,07 | |
| Nivel educativo | ||||||
| Primaria o menos | 0,26 | 0,27 | 0,19 | 0,18 | 0,19 | |
| 1er ciclo Secund. | 0,28 | 0,26 | 0,29 | 0,25 | 0,25 | |
| 2o ciclo Secund. | 0,18 | 0,18 | 0,21 | 0,23 | 0,2 | |
| Univ. | 0,28 | 0,29 | 0,32 | 0,34 | 0,35 | |
| Antigüedad en la empresa | ||||||
| < de 1 año | 0,15 | 0,15 | 0,09 | 0,09 | 0,12 | |
| 1-3 años | 0,36 | 0,39 | 0,32 | 0,26 | 0,28 | |
| 4-7 años | 0,16 | 0,18 | 0,22 | 0,19 | 0,14 | |
| Más de 7 años | 0,33 | 0,29 | 0,37 | 0,45 | 0,45 | |
| Tamaño empresa | ||||||
| <10 trab. | 0 | 0,26 | 0,28 | 0,26 | 0,24 | |
| 10-49 trab. | 0,43 | 0,29 | 0,26 | 0,25 | 0,26 | |
| 50-199 trab. | 0,25 | 0,19 | 0,18 | 0,19 | 0,19 | |
| 200 y más | 0,32 | 0,26 | 0,28 | 0,3 | 0,31 | |
| Tipo de contrato | ||||||
| Indefinido | 0,73 | 0,71 | 0,78 | 0,79 | 0,78 | |
| Tipo de jornada | ||||||
| Completa | 0,89 | 0,83 | 0,78 | 0,75 | 0,75 | |
| No. observaciones | 186,744 | 230,001 | 171,421 | 199,348 | 206,537 | |
Al igual que en Anghel et al. (2019), utilizamos como medida de los salarios, el salario por hora bruto del mes de octubre. Lo calculamos siguiendo la metodología del Instituto Nacional de Estadística como el salario que corresponde al mes de octubre dividido por el número de horas trabajadas en el mes de octubre. El número de horas trabajadas al mes se calcula como el número de horas trabajadas a la semana multiplicado por 4,35 más el número de horas extra trabajadas durante el mes de octubre. Los salarios están deflactados y expresados en euros de 2015 utilizando el IPC armonizado publicado por Eurostat.
La brecha salarial se estima a través de una ecuación de salarios de Mincer, donde se controla por una serie de variables relevantes para la determinación del salario de un trabajador:
 
                              donde ln(yi ) es el logaritmo del salario real por hora, Mujeri es una variable ficticia que toma el valor 1 si el trabajador es mujer y 0 si es hombre, y xij son una serie de variables de control que determinan potencialmente el salario de un trabajador. El coeficiente de interés es el coeficiente β1 que indica la diferencia porcentual en salarios entre una mujer y un hombre. Las variables de control que se consideran son:
      i) edad;
     ii) nivel educativo (primaria o menos, primer ciclo de educación secundaria, segundo ciclo de educación secundaria y universidad o más);
    iii) experiencia (medida como antigüedad en la empresa actual: menos de 1 año, 1-3 años, 4-7 años y más de 7 años);
    iv) tamaño de la empresa (1-9 trabajadores, 10-49 trabajadores, 50-199 trabajadores, y 200 y más trabajadores);
     v) tipo de contrato (indefinido o temporal);
    vi) tipo de jornada (completa o parcial);
   vii) ocupación (nueve dummies basados en la Clasificación Nacional de Ocupaciones de 1994 y 2011); y
  viii) sector de actividad (trece dummies basados en la Clasificación Nacional de Actividades Económicas de 1993 y 2009). 
3.1. Brecha salarial de género ajustada total
En la Tabla 2 se presentan los principales resultados. Se muestran las estimaciones de la ecuación de Mincer para todos los años, utilizando dos especificaciones: i) una que incluye características socio-demográficas del trabajador: sexo, edad, nivel educativo y experiencia (modelo simple); y ii) otra que añade a esta lista de variables características del empleo y de la empresa: tamaño de la empresa, tipo de contrato, tipo de jornada, dummies de ocupación y dummies de sector de actividad (modelo extendido).
| Modelo simple | Modelo extendido | |||||||||||
|---|---|---|---|---|---|---|---|---|---|---|---|---|
| 2002 | 2006 | 2010 | 2014 | 2018 | 2002 | 2006 | 2010 | 2014 | 2018 | |||
| Mujer | -0.218*** | -0.202*** | -0.179*** | -0.171*** | -0.176*** | -0.187*** | -0.170*** | -0.149*** | -0.127*** | -0.133*** | ||
| (0.003) | (0.004) | (0.003) | (0.003) | (0.003) | (0.003) | (0.004) | (0.004) | (0.003) | (0.004) | |||
| Edad | 0.024*** | 0.016*** | 0.009*** | 0.013*** | 0.010*** | 0.018*** | 0.010*** | 0.004*** | 0.009*** | 0.006*** | ||
| (0.001) | (0.001) | (0.001) | (0.001) | (0.001) | (0.001) | (0.001) | (0.001) | (0.001) | (0.001) | |||
| Edad al cuadrado | -0.000*** | -0.000*** | -0.000 | -0.000*** | -0.000*** | -0.000*** | -0.000*** | 0.000 | -0.000 | -0.000 | ||
| (0.000) | (0.000) | (0.000) | (0.000) | (0.000) | (0.000) | (0.000) | (0.000) | (0.000) | (0.000) | |||
| Nivel educativo | ||||||||||||
| 1er ciclo Secundaria | 0.047*** | 0.026*** | 0.039*** | 0.047*** | 0.039*** | 0.010*** | 0.011*** | 0.012*** | 0.012*** | 0.014*** | ||
| (0.004) | (0.004) | (0.005) | (0.005) | (0.005) | (0.004) | (0.004) | (0.004) | (0.004) | (0.005) | |||
| 2o ciclo Secundaria | 0.219*** | 0.175*** | 0.183*** | 0.168*** | 0.154*** | 0.092*** | 0.087*** | 0.091*** | 0.090*** | 0.093*** | ||
| (0.005) | (0.005) | (0.005) | (0.005) | (0.005) | (0.005) | (0.005) | (0.005) | (0.005) | (0.005) | |||
| Universitarios | 0.513*** | 0.447*** | 0.512*** | 0.523*** | 0.504*** | 0.152*** | 0.149*** | 0.155*** | 0.190*** | 0.212*** | ||
| (0.004) | (0.005) | (0.005) | (0.005) | (0.005) | (0.005) | (0.006) | (0.006) | (0.005) | (0.006) | |||
| Antigüedad en la empresa | ||||||||||||
| 1-3 años | 0.062*** | 0.065*** | 0.031*** | 0.042*** | 0.017*** | 0.030*** | 0.037*** | 0.009 | 0.011* | -0.001 | ||
| (0.004) | (0.005) | (0.007) | (0.006) | (0.006) | (0.004) | (0.005) | (0.006) | (0.006) | (0.006) | |||
| 4-7 años | 0.159*** | 0.160*** | 0.092*** | 0.114*** | 0.073*** | 0.089*** | 0.098*** | 0.054*** | 0.046*** | 0.025*** | ||
| (0.005) | (0.006) | (0.007) | (0.006) | (0.006) | (0.005) | (0.006) | (0.007) | (0.006) | (0.007) | |||
| Más de 7 años | 0.352*** | 0.341*** | 0.260*** | 0.245*** | 0.242*** | 0.221*** | 0.215*** | 0.175*** | 0.140*** | 0.147*** | ||
| (0.005) | (0.006) | (0.007) | (0.006) | (0.006) | (0.005) | (0.006) | (0.007) | (0.006) | (0.006) | |||
| Tamaño empresa | ||||||||||||
| 10-49 trabajadores | -0.206*** | 0.094*** | 0.092*** | 0.080*** | 0.074*** | |||||||
| (0.004) | (0.005) | (0.005) | (0.005) | (0.005) | ||||||||
| 50-199 trabajadores | -0.102*** | 0.173*** | 0.171*** | 0.143*** | 0.126*** | |||||||
| (0.004) | (0.005) | (0.004) | (0.005) | (0.005) | ||||||||
| 200 y más trabajadores | 0.276*** | 0.278*** | 0.229*** | 0.222*** | ||||||||
| (0.006) | (0.005) | (0.004) | (0.005) | |||||||||
| Tipo de contrato | ||||||||||||
| Indefinido | 0.064*** | 0.036*** | 0.007* | 0.045*** | 0.035*** | |||||||
| (0.004) | (0.004) | (0.004) | (0.004) | (0.004) | ||||||||
| Tipo de jornada | ||||||||||||
| Completa | -0.042*** | 0.018*** | 0.008* | 0.034*** | 0.025*** | |||||||
| (0.006) | (0.005) | (0.005) | (0.004) | (0.004) | ||||||||
| Dummies de ocupación | SI | SI | SI | SI | ||||||||
| Dummies de sector de actividad | SI | SI | SI | SI | ||||||||
| Constante | 1.441*** | 1.607*** | 1.718*** | 1.578*** | 1.703*** | 2.690*** | 2.531*** | 2.620*** | 2.392*** | 2.477*** | ||
| (0.019) | (0.022) | (0.027) | (0.026) | (0.024) | (0.024) | (0.025) | (0.033) | (0.031) | (0.031) | |||
| R-cuadrado | 0.361 | 0.317 | 0.348 | 0.347 | 0.340 | 0.489 | 0.477 | 0.507 | 0.482 | 0.464 | ||
| No. observaciones | 186,744 | 230,001 | 171,421 | 199,348 | 206,537 | 186,744 | 230,001 | 171,421 | 199,347 | 206,537 | ||
Se observa que tanto la brecha salarial del modelo simple como la del modelo extendido disminuyen hasta el año 2014, pero, por primera vez en la serie, las brechas ajustadas en ambos modelos aumentan ligeramente en 2018, llegando a un valor de 17,6% y 13,3% respectivamente.
Como ya pusimos de relieve en Anghel et al. (2019), al incluir características del trabajo (modelo extendido), la brecha salarial se reduce en todos los años. La explicación probablemente reside en que el modelo simple no escapa del efecto composición: el coeficiente de la dummy de mujer en el modelo simple podría reflejar que hay más mujeres con contratos temporales, con jornada a tiempo parcial, en ocupaciones de menor cualificación, que son modalidades de empleo peor remuneradas en promedio. Hay que destacar que este efecto composición según tipo de empleo es muy relevante, puesto que una parte importante de la diferencia salarial entre hombres y mujeres en el mercado laboral español se debe al hecho de que se observa que las mujeres están trabajando en los segmentos de mercado con peores salarios.
Puesto que la variable dependiente de la ecuación de Mincer está en logaritmos, el coeficiente β1 se interpreta de la siguiente manera: el diferencial en salarios entre una mujer y un hombre es de 100* β1%. Además, si queremos expresarlo de la misma manera como se ha hecho en la Sección 2, el diferencial entre el salario de un hombre y el salario de una mujer, sería -100* β1%4.
Como el modelo extendido es el más completo para estudiar las brechas de genero ajustadas, a partir de ahora vamos a centrarnos en este modelo para analizar que ha pasado con la evolución de las brechas salariales en España. En el siguiente gráfico, vemos el principal resultado del artículo: si bien es cierto que la brecha sin ajustar se sigue reduciendo, como hemos visto anteriormente, la brecha ajustada aumenta en España por primera vez: pasando del 12,7% en 2014 al 13,3% en 2018.
 
 
                              El aumento en la brecha salarial ajustada puede indicar que la situación en el mercado laboral no está permitiendo aprovechar la mejora en las características de las mujeres, ya sea la mejora en el nivel educativo o la mayor experiencia laboral.
Sin embargo, habría que interpretar este resultado con cierta cautela, dado que si se realiza un test de la igualdad de los coeficientes de la variable “Mujer” en las estimaciones de los años 2014 y 2018 no se puede rechazar la hipótesis nula de que estos coeficientes son iguales. Por tanto, habrá que esperar a la siguiente ola de la EES del año 2022 para confirmar si la brecha se mantiene igual, sigue reduciéndose o se trata de un cambio de tendencia.
A continuación, vamos a estimar las brechas ajustadas de genero por características usando la misma ecuación salarial de Mincer, para identificar donde o bajo qué características se ha producido un aumento en la brecha salarial.
3.2 Brecha salarial de género ajustada por grupos de edad
Los coeficientes que aparecen en la Tabla 3 y representados en el Gráfico 5 son la diferencia salarial entre hombres y mujeres con las mismas características socio-demográficas y del trabajo, pero que difieren en cuanto al grupo de edad. Como ya advertimos en Anghel et al. (2019), al analizar la evolución de las brechas salariales por edad a lo largo del tiempo, hay que tener cierta cautela, porque la EES es una encuesta de sección transversal. Por tanto, podría haber potenciales efectos de cohortes al comparar las brechas salariales por edad en el periodo 2002-2018.
| Brecha salarial de género ajustada (%) | |||||
|---|---|---|---|---|---|
| Año | <30 | 30-39 años | 40-49 años | 50-59 años | Más de 59 años | 
| 2002 | 13,24 | 16,83 | 19,75 | 20,42 | 21,8 | 
| -0,005 | -0,006 | -0,008 | -0,012 | -0,024 | |
| 2006 | 11,31 | 15,12 | 17,28 | 20,11 | 20,78 | 
| -0,007 | -0,007 | -0,008 | -0,011 | -0,03 | |
| 2010 | 9,3 | 12,82 | 14,6 | 16,31 | 20,37 | 
| -0,009 | -0,006 | -0,007 | -0,009 | -0,023 | |
| 2014 | 4,69 | 10,75 | 12,62 | 14,97 | 17,21 | 
| -0,008 | -0,005 | -0,006 | -0,008 | -0,018 | |
| 2018 | 6,8 | 10,7 | 13,24 | 15,26 | 15,25 | 
| -0,009 | -0,006 | -0,005 | -0,01 | -0,014 | |
| % Mujeres | |||||
| 2002 | 42,3 | 38,1 | 36,9 | 29,1 | 25,9 | 
| 2006 | 44,8 | 42,2 | 39,9 | 35,9 | 26,2 | 
| 2010 | 51,5 | 47,9 | 46,7 | 44,5 | 37,6 | 
| 2014 | 50,9 | 49,2 | 47,7 | 45,9 | 41,9 | 
| 2018 | 47,7 | 48,8 | 47,8 | 46,1 | 47 | 
La Tabla 3 muestra que, en primer lugar, las brechas aumentan con la edad. Así, en el año 2018, los hombres de menos de 30 años tienen en promedio un salario 6,8% mayor que los de las mujeres, teniendo ambos las mismas características (observables). Sin embargo, entre los trabajadores mayores de 50 años la brecha se amplía hasta el 15,2%. Una explicación plausible de por qué la brecha salarial ajustada se amplifica con la edad, podría ser la maternidad. En este sentido Quinto, Hospido y Sanz (2021), con datos de la Muestra Continua de Vidas Laborales encuentran que el coste de la maternidad (i.e “child penalty”) en España, es muy alto, aunque similar al de otros países. Concretamente encuentran: i) un año después de tener un hijo los ingresos de las madres caen un 11,4% y esta caída sigue ampliándose hasta el 28% en el largo plazo; ii) las horas trabajadas caen un 10% a corto plazo y un 23% al cabo de 10 años; y iii) la precariedad también aumenta. Lamentablemente, esta base de datos, siendo muy precisa en cuanto a la remuneración, no da información sobre el número de hijos, por lo que no es posible estimar el efecto que la maternidad tiene sobre la brecha salarial.
En segundo lugar, como se puede ver en el Gráfico 4, en el año 2018 se rompe la tendencia de reducción y las brechas salariales aumentan para todos los grupos de edad, menos para el grupo de las mujeres mayores de 59 años donde la brecha mejora, reduciéndose del 17,2% al 15,2%.  
 
 Fuente: Elaboración propia con microdatos de la Encuesta de Estructura Salarial 2002-2018 (INE). Notas: La brecha salarial ajustada se estima de una regresión del logaritmo del salario por hora sobre una dummy de mujer, edad, edad al cuadrado, nivel educativo, antigüedad, tamaño de la empresa, tipo de contrato, sector y ocupación.
                                Fuente: Elaboración propia con microdatos de la Encuesta de Estructura Salarial 2002-2018 (INE). Notas: La brecha salarial ajustada se estima de una regresión del logaritmo del salario por hora sobre una dummy de mujer, edad, edad al cuadrado, nivel educativo, antigüedad, tamaño de la empresa, tipo de contrato, sector y ocupación.
                              3.3 Brecha salarial de género ajustada por nivel educativo
En esta sección se estima la diferencia salarial entre hombres y mujeres con las mismas características socio-demográficas y del trabajo pero que difieren en cuanto al nivel educativo alcanzado. Son destacables tres aspectos. Primero, como se puede ver en la Tabla 4, las mujeres están más representadas en la EES según aumenta la cualificación: las mujeres representan el 40% de los trabajadores con estudios primarios (o inferior) y el 53% de los trabajadores con estudios terciarios. Segundo, los resultados de las brechas salariales ajustadas muestran un diferencial salarial a favor de los hombres para todos los niveles educativos. Así, una mujer, controlando por todas las características, con estudios primarios, en el año 2018, tiene unos ingresos un 13% inferiores a un hombre con las mismas características. La brecha es del 14,2% para los trabajadores con educación secundaria y del 12,1% para el grupo con estudios universitarios.
| Brecha salarial de género ajustada (%) | ||||
|---|---|---|---|---|
| Año | Primaria o menos | 1er ciclo de Educ. Secundaria | 2o ciclo de Educ. Secundaria | Educ. terciaria | 
| 2002 | 21,3 | 19,23 | 18,27 | 14,29 | 
| -0,006 | -0,007 | -0,008 | -0,006 | |
| 2006 | 18,21 | 15,06 | 17,31 | 15,3 | 
| -0,008 | -0,007 | -0,009 | -0,007 | |
| 2010 | 13,76 | 15,03 | 16,96 | 12,54 | 
| -0,008 | -0,007 | -0,009 | -0,006 | |
| 2014 | 11,24 | 12,42 | 13,55 | 11,91 | 
| -0,007 | -0,006 | -0,007 | -0,006 | |
| 2018 | 13,01 | 13,26 | 14,18 | 12,1 | 
| -0,008 | -0,009 | -0,007 | -0,005 | |
| % Mujeres | ||||
| 2002 | 29,9 | 32,7 | 44,8 | 44,2 | 
| 2006 | 31,6 | 35,5 | 48 | 49,8 | 
| 2010 | 37,8 | 43,3 | 51,9 | 53,3 | 
| 2014 | 42,9 | 42,3 | 51,2 | 52,7 | 
| 2018 | 40 | 43 | 51,1 | 53,1 | 
Tercero, en el Gráfico 5 se puede ver como la senda de reducción de brechas salariales ajustadas por nivel educativo se ha truncado en el año 2018 y las brechas aumentan para todos los niveles educativos. El incremento es mayor cuanto menor es el nivel educativo.
 Fuente: Elaboración propia con microdatos de la Encuesta de Estructura Salarial 2002-2018 (INE). Notas: La brecha salarial ajustada se estima de una regresión del logaritmo del salario por hora sobre una dummy de mujer, edad, edad al cuadrado, nivel educativo, antigüedad, tamaño de la empresa, tipo de contrato, sector y ocupación.
                                Fuente: Elaboración propia con microdatos de la Encuesta de Estructura Salarial 2002-2018 (INE). Notas: La brecha salarial ajustada se estima de una regresión del logaritmo del salario por hora sobre una dummy de mujer, edad, edad al cuadrado, nivel educativo, antigüedad, tamaño de la empresa, tipo de contrato, sector y ocupación.
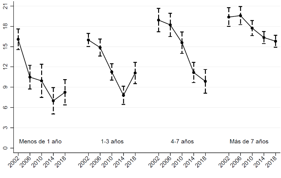
                              3.4 Brecha salarial de género ajustada por antigüedad en la empresa
Otra característica relevante a la hora de analizar las brechas salariales de género es ver qué ocurre según número de años de antigüedad en la empresa. Por un lado, se observa que la diferencia salarial entre hombres y mujeres con las mismas características socio-demográficas y del trabajo aumenta con la antigüedad en la empresa. En 2018, una mujer con las mismas características que un hombre gana un 8,2% menos que un hombre si lleva menos de un año en la empresa y un 15,8% menos si lleva más de siete años trabajando en la misma empresa.
| Brecha salarial de género ajustada (%) | ||||
|---|---|---|---|---|
| Año | Menos de 1 año | 1-3 años | 4-7 años | Más de 7 años | 
| 2002 | 16,08 | 15,99 | 18,93 | 19,37 | 
| -0,008 | -0,005 | -0,009 | -0,007 | |
| 2006 | 10,49 | 14,87 | 18,22 | 19,59 | 
| -0,009 | -0,006 | -0,009 | -0,007 | |
| 2010 | 9,94 | 11,25 | 15,59 | 17,74 | 
| -0,012 | -0,006 | -0,008 | -0,006 | |
| 2014 | 6,99 | 7,8 | 11,17 | 16,35 | 
| -0,01 | -0,007 | -0,008 | -0,005 | |
| 2018 | 8,25 | 11,1 | 9,87 | 15,8 | 
| -0,01 | -0,008 | -0,009 | -0,005 | |
| % Mujeres | ||||
| 2002 | 40,7 | 39 | 38 | 33,7 | 
| 2006 | 40,9 | 41,9 | 43,5 | 37,8 | 
| 2010 | 46,1 | 50,6 | 49,9 | 42,9 | 
| 2014 | 45,1 | 48,3 | 52,6 | 46,4 | 
| 2018 | 44,9 | 44,6 | 47,2 | 50,3 | 
En segundo lugar, en el periodo 2002-2014 se había producido una caída significativa de las brechas ajustadas por antigüedad: en el grupo con antigüedad de menos de 1 año, la reducción de 2002 a 2014 había sido de 9 puntos porcentuales, en el grupo con antigüedad entre 1-3 años y entre 4-7 años había sido de 8 pp respectivamente. Pero, esta senda descendente de las brechas se ha visto interrumpida en el año 2018: las brechas de género de los trabajadores con menos de 3 años de antigüedad han aumentado, pasando del 7% al 8,25% para trabajadores con menos de un año de antigüedad y del 7,8% al 11,1% para trabajadores con 2 o 3 años de antigüedad. Sin embargo, desde 2014 hasta 2018 las trabajadoras con 4 años o más de antigüedad han continuado reduciendo la brecha salarial con respecto a los hombres con las mismas características (socio-demográficas y laborales) que ellas.
 Fuente: Elaboración propia con microdatos de la Encuesta de Estructura Salarial 2002-2018 (INE). Notas: La brecha salarial ajustada se estima de una regresión del logaritmo del salario por hora sobre una dummy de mujer, edad, edad al cuadrado, nivel educativo, antigüedad, tamaño de la empresa, tipo de contrato, sector y ocupación.
                                Fuente: Elaboración propia con microdatos de la Encuesta de Estructura Salarial 2002-2018 (INE). Notas: La brecha salarial ajustada se estima de una regresión del logaritmo del salario por hora sobre una dummy de mujer, edad, edad al cuadrado, nivel educativo, antigüedad, tamaño de la empresa, tipo de contrato, sector y ocupación.
                              3.5. Brecha salarial de género ajustada por ocupación y por sector de actividad
Las brechas salariales ajustadas por ocupaciones en el periodo de análisis se encuentran en la Tabla 5. Hay varios hechos destacables. Primero, las mujeres en el año 2018 están subrepresentadas en las siguientes ocupaciones: i) Directores y Gerentes (36,26%); ii) Técnicos y Profesionales de Apoyo (41,5%); iii) Artesanos y Trabajadores Cualificados (11,5%) y v) Operadores de Maquinaria (9,8%). Y, las mujeres estas sobrerrepresentadas en las siguientes ocupaciones: i) Técnicos y Profesionales Científicos (58%); ii) Empleados Administrativos (66%); iii) Trabajadores de Servicio, Restauración y Personales; y iii) Trabajadores no Cualificados (51,5%).
Segundo, las brechas salariales son siempre desfavorables para las mujeres y son más altas en la ocupación de Artesanos y Trabajadores Cualificados donde una mujer con las mismas características observables gana un 24,3% menos que un hombre y en la ocupación de Operadores de maquinaria donde la Brecha alcanza un 18,2%. Precisamente estas dos ocupaciones se caracterizan por tener muy poca proporción de mujeres como hemos visto anteriormente.
| Brecha salarial de género ajustada (%) | |||||
|---|---|---|---|---|---|
| Año | Directores y Gerentes | Técnicos y prof.cientif. | Técnicos y prof. de apoyo | Empleados adminis. | Trabaj. serv. restauración, personales… | 
| 2002 | 16,78 | 12,99 | 17,79 | 15,11 | 15,94 | 
| -0,027 | -0,008 | -0,009 | -0,009 | -0,01 | |
| 2006 | 24,41 | 13,57 | 14,61 | 14,44 | 14,46 | 
| -0,022 | -0,01 | -0,01 | -0,009 | -0,01 | |
| 2010 | 10,82 | 11,66 | 15,22 | 13,91 | 12,43 | 
| -0,025 | -0,009 | -0,009 | -0,009 | -0,009 | |
| 2014 | 12,19 | 10,76 | 12,93 | 12,49 | 9,45 | 
| -0,022 | -0,008 | -0,008 | -0,007 | -0,007 | |
| 2018 | 13,21 | 10,75 | 12,36 | 10,9 | 12,49 | 
| -0,027 | -0,007 | -0,009 | -0,008 | -0,009 | |
| % Mujeres | |||||
| 2002 | 17,9 | 48,1 | 38,7 | 59 | 58,3 | 
| 2006 | 23,4 | 56 | 43,9 | 64,6 | 65,7 | 
| 2010 | 30,8 | 58 | 41,9 | 65,6 | 66,4 | 
| 2014 | 35,2 | 58 | 43,5 | 64,5 | 65 | 
| 2018 | 36,2 | 58 | 41,5 | 66,6 | 63,3 | 
En todas las ocupaciones, el diferencial salarial ajustado entre hombre y mujeres se ha ido reduciendo a lo largo del periodo hasta el año 2014. Pero, en el año 2018, las brechas de genero controlando por ocupación han aumentado con respecto a 2014, un 10% en los Trabajadores no cualificados, un 32% en Trabajadores de Servicios, Restauración y Personales y un 8,4% en Directores y Gerentes.
Por sectores de actividad también hay muchas diferencias en cuanto a la brecha salarial ajustada. En primer lugar, es destacable que en el año 2018 las mujeres están subrepresentadas en los siguientes sectores: i) Industrias Extractivas (10,7%); ii) Manufacturas (26,9%); iii) Producción y Distribución de energía eléctrica, gas y agua (21,7%); v) Construcción (11%); y vi) Transporte y Almacenamiento (26,8%). Y están sobrerrepresentadas en los siguientes sectores: i) Hostelería (55,6%); ii) Intermediación Financiera (60%); iii) Educación (65%); iv) Actividades Sanitarias (76,5%) y v) Otras Actividades. Sociales (57,7%). En el sector del Comercio (49% de mujeres) y el de Actividades Inmobiliarias (46,2%) hay prácticamente el mismo número de mujeres que de hombres.
| Brecha salarial de género ajustada (%) | ||||||||||||
|---|---|---|---|---|---|---|---|---|---|---|---|---|
| Año | Industrias extractivas | Manufacturas | Producción y distribución de energía eléctrica, gas y agua | Construcción | Comercio | Hostelería | Transp. y almacenamiento | Interm. financiera | Actividades Inmobiliarias | Educación | Activ.sanit. | Otras actividades Sociales | 
| 2002 | 23,62 | 23,18 | 17,12 | 20,05 | 20,95 | 10,48 | 17,12 | 11,95 | 14,74 | 4,3 | 17,18 | 21,38 | 
| -0,042 | -0,004 | -0,023 | -0,019 | -0,011 | -0,008 | -0,016 | -0,013 | -0,01 | -0,009 | -0,011 | -0,012 | |
| 2006 | 18,99 | 22,18 | 22,71 | 15,51 | 14,41 | 10,75 | 16,7 | 14,17 | 15,3 | 2,93 | 21,78 | 18,73 | 
| -0,027 | -0,004 | -0,017 | -0,019 | -0,011 | -0,013 | -0,015 | -0,011 | -0,01 | -0,011 | -0,016 | -0,012 | |
| 2010 | 20,1 | 20,94 | 21,92 | 15,93 | 15,01 | 8,97 | 13,93 | 16,35 | 16,02 | 8,57 | 13,48 | 13,91 | 
| -0,055 | -0,006 | -0,017 | -0,022 | -0,01 | -0,015 | -0,017 | -0,016 | -0,006 | -0,015 | -0,009 | -0,014 | |
| 2014 | 25,02 | 20,81 | 21,67 | 15,8 | 13,05 | 6,02 | 15,29 | 16,6 | 12,29 | 5,83 | 13,51 | 12,64 | 
| -0,042 | -0,005 | -0,015 | -0,021 | -0,009 | -0,011 | -0,013 | -0,015 | -0,005 | -0,014 | -0,01 | -0,012 | |
| 2018 | 13,03 | 20,12 | 19,18 | 6,22 | 13,77 | 6,96 | 16,68 | 17 | 12,58 | 6,04 | 12,06 | 12,36 | 
| -0,037 | -0,005 | -0,015 | -0,022 | -0,01 | -0,016 | -0,013 | -0,016 | -0,005 | -0,013 | -0,009 | -0,012 | |
| % Mujeres | ||||||||||||
| 2002 | 7,3 | 25 | 16,2 | 6,6 | 43,1 | 52,1 | 24,4 | 36,1 | 52,1 | 62,6 | 71,5 | 45,3 | 
| 2006 | 8,5 | 25,3 | 18,2 | 8,3 | 46,1 | 54,9 | 25,3 | 43,7 | 55,1 | 65,7 | 74,5 | 55,9 | 
| 2010 | 8,4 | 25,8 | 20 | 11,4 | 52,5 | 56,8 | 25,8 | 57,7 | 46,3 | 67,3 | 76,8 | 64,1 | 
| 2014 | 8,2 | 26,2 | 20,4 | 11,6 | 49,1 | 56,7 | 26,3 | 59,9 | 48,4 | 66,6 | 75,5 | 60,7 | 
| 2018 | 10,7 | 26,9 | 21,7 | 11 | 49,4 | 55,6 | 26,8 | 59,9 | 46,2 | 65,3 | 76,5 | 57,7 | 
En el año 2018, en todos los sectores las brechas son negativas para las mujeres y los sectores con las brechas más elevadas son: Manufacturas (un 20,1%), Producción y Distribución de energía eléctrica, gas y agua (un 19,2%) e Intermediación Financiera (un 17%). Los primeros dos sectores destacan por su baja proporción de mujeres.
Por primera vez en la serie histórica, las brechas de genero ajustadas han aumentado en algunos sectores como Educación, Comercio y Hostelería, mientras que en sectores mayoritariamente ocupados por hombres como Manufacturas, Construcción o Industrias Extractivas han continuado reduciéndose.
3.6. Brecha salarial de género ajustada por tamaño de la empresa
A continuación, vamos a analizar como varían las brechas salariales ajustadas con el tamaño de la empresa. Encontramos tres aspectos relevantes. En primer lugar, como podemos ver en la Tabla 8, son las empresas con un número de trabajadores entre 10 y 49 donde hay menos proporción de mujeres en relación a los hombres (un 40%), mientras que en las empresas grandes con más de 200 trabajadores hay un 54% de mujeres. 
En segundo lugar, en la misma Tabla 9, podemos ver que en el año 2018 la brecha salarial de género aumenta con el tamaño de la empresa.  Los hombres ganan cerca de un 14% más que las mujeres con las mismas características en las empresas de más de 50 empleados y en torno del 12-13% más en las empresas de menos de 50 trabajadores. 
En tercer lugar, como se puede ver en el Gráfico 7, la brecha salarial continúa reduciéndose en el año 2018 en las empresas de más de 200 trabajadores, pero se ha ampliado en las empresas de menos de 200 trabajadores.
| Brecha salarial de género ajustada (%) | ||||
|---|---|---|---|---|
| Año | 1-9 trab. | 10-49 trab. | 50-199 trab. | 200 y más trab. | 
| 2002 | . | 16,25 | 20,51 | 19,69 | 
| -0,005 | -0,005 | -0,007 | ||
| 2006 | 13,02 | 16,04 | 17,37 | 19,01 | 
| -0,013 | -0,005 | -0,005 | -0,005 | |
| 2010 | 12,44 | 14,9 | 15,84 | 15,25 | 
| -0,01 | -0,007 | -0,006 | -0,004 | |
| 2014 | 9,36 | 12,67 | 13,26 | 14,35 | 
| -0,009 | -0,007 | -0,006 | -0,004 | |
| 2018 | 11,55 | 12,42 | 13,82 | 13,67 | 
| -0,012 | -0,007 | -0,005 | -0,004 | |
| % Mujeres | ||||
| 2002 | 0 | 32,7 | 35,6 | 44,9 | 
| 2006 | 40,9 | 34,5 | 39 | 49,2 | 
| 2010 | 47,6 | 39,4 | 46,2 | 54,8 | 
| 2014 | 48,2 | 42,3 | 46,2 | 53,7 | 
| 2018 | 48,1 | 40,7 | 45,5 | 54,1 | 
 Fuente: Elaboración propia con microdatos de la Encuesta de Estructura Salarial 2002-2018 (INE). Notas: La brecha salarial ajustada se estima de una regresión del logaritmo del salario por hora sobre una dummy de mujer, edad, edad al cuadrado, nivel educativo, antigüedad, tamaño de la empresa, tipo de contrato, sector y ocupación. En 2002 no se encuesta a empresas con menos de 10 trabajadores.
                                Fuente: Elaboración propia con microdatos de la Encuesta de Estructura Salarial 2002-2018 (INE). Notas: La brecha salarial ajustada se estima de una regresión del logaritmo del salario por hora sobre una dummy de mujer, edad, edad al cuadrado, nivel educativo, antigüedad, tamaño de la empresa, tipo de contrato, sector y ocupación. En 2002 no se encuesta a empresas con menos de 10 trabajadores.
                              3.7. Brecha salarial de género ajustada, por condiciones laborales
Por último, analizamos la brecha salarial ajustada en función del tipo de contrato y de la jornada laboral.
Por tipo de contrato, en el caso de los contratos indefinidos, la brecha salarial ajustada en 2018 era de un 14,3%, siendo mayor que la de los contratos temporales, un 9,1%. Es decir, controlando por todas las características socioeconómicas y laborales, los hombres ganan un 14% más si tienen un contrato indefinido y un 9% si el contrato es de carácter temporal. En cuanto a la proporción de las mujeres por tipo de contrato no se observan ningunas diferencias. Bajo ambos tipos de contrato (indefinido o temporal) hay un 47,6% de mujeres.
| Brecha salarial de género ajustada (%) | ||
|---|---|---|
| Año | Indefinido | Temporal | 
| 2002 | 19,17 | 14,57 | 
| -0,004 | -0,006 | |
| 2006 | 18,26 | 11,86 | 
| -0,005 | -0,007 | |
| 2010 | 15,59 | 11,72 | 
| -0,004 | -0,008 | |
| 2014 | 13,79 | 7,84 | 
| -0,004 | -0,007 | |
| 2018 | 14,27 | 9,09 | 
| -0,004 | -0,007 | |
| % Mujeres | ||
| 2002 | 37,6 | 36,8 | 
| 2006 | 42,1 | 37,9 | 
| 2010 | 47,4 | 46,7 | 
| 2014 | 47,7 | 49,2 | 
| 2018 | 47,6 | 47,6 | 
En la evolución temporal, vemos como las brechas de género ajustadas por tipo contrato se estaban reduciendo hasta la última ola en el año 2018 cuando han aumentado un 3,5% en los contratos indefinidos y un 16% en los contratos temporales.
 Fuente: Elaboración propia con microdatos de la Encuesta de Estructura Salarial 2002-2018 (INE). Notas: La brecha salarial ajustada se estima de una regresión del logaritmo del salario por hora sobre una dummy de mujer, edad, edad al cuadrado, nivel educativo, antigüedad, tamaño de la empresa, tipo de contrato, sector y ocupación.
                                Fuente: Elaboración propia con microdatos de la Encuesta de Estructura Salarial 2002-2018 (INE). Notas: La brecha salarial ajustada se estima de una regresión del logaritmo del salario por hora sobre una dummy de mujer, edad, edad al cuadrado, nivel educativo, antigüedad, tamaño de la empresa, tipo de contrato, sector y ocupación.
                              Por tipo de jornada, la brecha salarial es mayor en el caso de los trabajadores con jornada a tiempo completo, un 13,7% en el año 2018, frente a un 11% para los trabajadores con jornada a tiempo parcial. La presencia de las mujeres es mucho más alta en los contratos con jornada a tiempo parcial (un 66,6%) que en los contratos con jornada a tiempo completo (un 41,2%).
| Brecha salarial de género ajustada (%) | ||
|---|---|---|
| Año | Tiempo completo | Tiempo parcial | 
| 2002 | 18,74 | 16,75 | 
| -0,003 | -0,016 | |
| 2006 | 17,88 | 11,47 | 
| -0,004 | -0,012 | |
| 2010 | 14,94 | 13,76 | 
| -0,004 | -0,011 | |
| 2014 | 13,99 | 7,44 | 
| -0,003 | -0,008 | |
| 2018 | 13,7 | 10,99 | 
| -0,004 | -0,009 | |
| % Mujeres | ||
| 2002 | 32,8 | 74 | 
| 2006 | 34,7 | 71,7 | 
| 2010 | 40,5 | 71,1 | 
| 2014 | 40,8 | 69,3 | 
| 2018 | 41,2 | 66,6 | 
En la evolución temporal resumida en el Gráfico 9, podemos ver como la brecha salarial se ha reducido ligeramente para los trabajos a jornada completa (una reducción del -2%), pero se ha ampliado un 48% en los contratos a tiempo parcial.
 Fuente: Elaboración propia con microdatos de la Encuesta de Estructura Salarial 2002-2018 (INE). Notas: La brecha salarial ajustada se estima de una regresión del logaritmo del salario por hora sobre una dummy de mujer, edad, edad al cuadrado, nivel educativo, antigüedad, tamaño de la empresa, tipo de contrato, sector y ocupación.
                                Fuente: Elaboración propia con microdatos de la Encuesta de Estructura Salarial 2002-2018 (INE). Notas: La brecha salarial ajustada se estima de una regresión del logaritmo del salario por hora sobre una dummy de mujer, edad, edad al cuadrado, nivel educativo, antigüedad, tamaño de la empresa, tipo de contrato, sector y ocupación.
                              2Véase Anghel et al. (2019) para más detalles.
 3En España la brecha salarial en salario base es tradicionalmente inferior que la brecha en complementos salariales (Amuedo-Dorantes y De la Rica, 2006 y De la Rica et al., 2010). De acuerdo con la EES de 2018, el bonus anual medio por empleado en España en 2018 fue de unos 4.000 euros para los hombres y alrededor de 3.300 euros para las mujeres.
 4Hay que destacar que esta interpretación del coeficiente de la dummy de mujer es una aproximación que se suele hacer en los análisis empíricos cuando la variable dependiente es en logaritmo.
  
4. Brechas salariales de género ajustadas a lo largo de la distribución de los salarios
Al igual que hicimos en Anghel et al. (2019) en esta sección complementamos el análisis, considerando las brechas salariales ajustadas a lo largo de la distribución de los salarios. Las brechas salariales ajustadas se estiman utilizando la técnica de las regresiones cuantílicas (“quantiles regressions”), que permite calcular la brecha en varios puntos (percentiles) de la distribución de los salarios y comparar la brecha salarial de los trabajadores en función de la parte de la distribución en la que se sitúan5.
Como se puede observar en la Tabla 11, los diferenciales salariales entre hombres y mujeres son más altos en la parte superior de la distribución de los salarios que en la parte media e inferior. Esto sugiere la existencia del glass-ceiling effect en el mercado laboral español.  Concretamente para el año 2018, la brecha salarial del percentil 10 es del 10,2% y la del percentil 90 es del 15,4%.
 
| Año | p5 | p10 | p25 | p50 | p75 | p90 | p95 | 
|---|---|---|---|---|---|---|---|
| 2002 | 13,15 | 13,81 | 15,22 | 18,21 | 21,41 | 24,32 | 25,45 | 
| -0,005 | -0,004 | -0,003 | -0,003 | -0,004 | -0,006 | -0,009 | |
| 2006 | 11,4 | 13,14 | 14,16 | 16,85 | 19,47 | 22,13 | 20,96 | 
| -0,006 | -0,005 | -0,004 | -0,004 | -0,005 | -0,007 | -0,01 | |
| 2010 | 9,76 | 10,95 | 12,6 | 14,07 | 15,6 | 18,21 | 21,11 | 
| -0,005 | -0,005 | -0,004 | -0,004 | -0,005 | -0,006 | -0,008 | |
| 2014 | 9,2 | 9,7 | 10,5 | 11,71 | 13,67 | 16,77 | 18,76 | 
| -0,005 | -0,005 | -0,004 | -0,004 | -0,005 | -0,007 | -0,007 | |
| 2018 | 9,18 | 10,18 | 11,21 | 12,67 | 14,23 | 15,37 | 17,86 | 
| -0,004 | -0,004 | -0,004 | -0,004 | -0,004 | -0,007 | -0,009 | 
La evolución temporal de estas brechas resumida en el Gráfico 10 muestra como la reducción en la brecha salarial a lo largo del tiempo en todos los percentiles es significativa desde el año 2002 hasta el año 2014. Pero en el año 2018 se ha reducido únicamente para los percentiles más bajos (P5 y P10) y para los percentiles más altos (P90 y P95), y se ha ampliado para los percentiles intermedios.
 Fuente: Elaboración propia con microdatos de la Encuesta de Estructura Salarial 2002-2018 (INE). Notas:  La brecha salarial ajustada se estima de una regresión del logaritmo del salario por hora sobre una dummy de mujer, edad, edad al cuadrado, nivel educativo, antigüedad, tamaño de la empresa, tipo de contrato,
                                Fuente: Elaboración propia con microdatos de la Encuesta de Estructura Salarial 2002-2018 (INE). Notas:  La brecha salarial ajustada se estima de una regresión del logaritmo del salario por hora sobre una dummy de mujer, edad, edad al cuadrado, nivel educativo, antigüedad, tamaño de la empresa, tipo de contrato,
                              5Las regresiones cuantílicas estiman el impacto de cambios en las variables de control sobre percentiles específicos de la variable dependiente, al igual que la estimación de los mínimos cuadrados ordinarios mide el efecto de los cambios en las variables de control sobre la media de la variable dependiente. Por tanto, permiten que la relación entre la variable dependiente y las variables de control difiera a lo largo de la distribución de los salarios.
5. Conclusiones
En este artículo hemos actualizado los resultados de Anghel, Conde-Ruiz y Marra de Artiñano (2019) incorporando la última ola de la EES correspondiente al año 2018. Encontramos que por primera vez en la serie histórica las brechas de genero ajustadas por características observables aumentan. En concreto, la brecha salarial ajustada aumenta del 12,7% en 2014 al 13,3% en 2018.
En el artículo también analizamos las brechas ajustadas en detalle y encontramos los siguientes resultados relevantes. Primero, la brecha aumenta con la edad y suben las brechas para todas las edades menos para las trabajadoras mayores de 59 años, cuya brecha continúa decreciendo. Segundo, la brecha salarial ajustada se reduce con el nivel educativo, pero en 2018 se incrementa para todos los niveles educativos. Tercero, las brechas ajustadas también son más altas para los contratos indefinidos que para los contratos temporales, pero en el último año se amplían para ambos tipos de contrato. Cuarto, las brechas ajustadas son más altas para los contratos a tiempo completo que para los contratos a tiempo parcial, ampliándose también ambas brechas en la última ola de la encuesta. Quinto, la brecha salarial ajustada es mayor en las empresas grandes que en las empresas pequeñas. En el último año la brecha baja en las empresas muy grandes de 200 y más trabajadores y sube en las pequeñas. Sexto, la brecha salarial disminuye con la antigüedad en la empresa. En los últimos datos continúa mejorando para las trabajadoras con más de cuatro años de experiencia, pero aumenta para las mujeres con menos de 4 años de experiencia. Por último, vemos como las brechas se reducen para las trabajadoras con menor salario y para las que tienen mayor salario, pero se amplifican para las mujeres con salarios situados en el medio de la distribución de los salarios.
No hemos encontrado una explicación convincente de porque en el año 2018 aumentan las brechas de genero salariales por primera vez desde que entramos en el siglo XXI. Hasta el año 2014 se había producido un avance importante, reduciéndose 1/3 de la brecha salarial. Este avance quedó truncado en 2018 con un aumento de la brecha salarial de género de aproximadamente del 5%. Es posible que este retroceso sea una señal de que el mercado laboral impide a las mujeres seguir avanzado en el proceso de convergencia salarial o simplemente se trata de un hecho puntual en un momento, el año 2018, donde España acaba de recuperar el nivel de producción que habíamos alcanzado antes del pinchazo inmobiliario en la Gran Recesión de 2008. Es muy probable que tengamos que esperar hasta que se publiquen los microdatos de la siguiente ola de la EES 2022, para entender mejor que es lo que está pasando.
En cualquier caso, los resultados obtenidos en el artículo ponen de relieve que en términos salariales las mujeres están en una peor situación respecto a los hombres con similares características observables.  Esta es una pérdida que talento y de crecimiento potencial que ninguna economía se puede permitir, mucho menos en un contexto de envejecimiento de la población en el que nos encontramos. 
 
Referencias
Amuedo-Dorantes, C. y S. De La Rica (2006), “The Role of Segregation and Pay Structure on the Gender Wage Gap: Evidence from Matched Employer-Employee Data for Spain”, The B.E. Journal of Economic Analysis & Policy, 5, issue 1, pág. 1-34
Anghel, B., Conde-Ruiz J.I. and I. Marra de Artíñano (2019), "Brechas Salariales de Género en España," Hacienda Pública Española / Review of Public Economics, IEF, vol. 229(2), pág. 87-119.
Conde-Ruiz, J.I. y I. Marra de Artíñano (2016), "Gender Gaps in the Spanish Labor Market," Studies on the Spanish Economy eee2016-32, FEDEA.
Conde-Ruiz, J.I., García, M y M. Yáñez (2019), "Does a “soft” board gender quotas policy work?," Applied Economic Analysis, Emerald Group Publishing Limited, vol. 28(82), pages 46-68, November.
De la Rica, S., Dolado, J. y Llorens, V. (2008), “Ceilings or Floors? Gender Wage Gaps by Education in Spain”, Journal of Population Economics, Vol. 21(3), 751-776
De la Rica, S., Dolado, J. y Vegas-Sánchez, R. (2010), “Performance Pay and the Gender Wage Gap: Evidence from Spain”, CEPR Discussion Paper Series No. 7936.
Quinto, A, Hospido, L y C. Sanz (2021), "The child penalty: evidence from Spain", SERIEs: Journal of the Spanish Economic Association, vol. 12(4), pages 585-606.
World Economic Forum, Global Gender Gap Report 2020, available at: http://www3.weforum.org/docs/WEF_GGGR_2020.pdf
 
 
		 
   
         
         
                               
                               
                               
                               
                               
                               
                               
                               
                               
                              .jpg) 
                               
                               
                               
                               
                              